避免中空旋轉平臺減速機根切的三種方法……
文章出處:合富源 人氣:發表時間:2019-07-16 16:19
避免中空旋轉平臺減速機根切的三種方法……
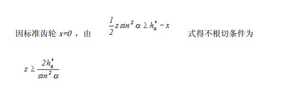
1) 中空旋轉平臺減速機標準齒輪不產生根切的最少齒數條件

因此得出標準齒條刀加工標準齒輪不產生根切的最少齒數 zmin :

當 ha * =1、α=20。時,可以得到標準齒輪不產生根切的最少齒數 zmin =17。
2)中空旋轉平臺減速機的變位齒輪不產生根切的最小變位系數

上式表明:當 z0 ;當 z>zmin時,可以采用負變位(x<0),只要滿足 x≥xmin 的條件就不會產生根切。
3) 改變中空旋轉平臺減速機齒頂高系數和壓力角
由式 可知,減小齒頂高系數 ha * 或加大壓力角α,均可提高齒輪避免根切的能力。但是,這樣需要采用非標準刀具,成本將增加,一般情況不宜采用。
推薦產品
同類文章排行
- 合富源為您解析一級、二級、三級行星減速機內部結構圖
- 中空旋轉平臺工作原理
- 行星減速機內部結構圖與傳動原理
- 平行軸行星減速機的概述、特點及應用領域
- 選擇精密伺服行星減速機時應注意哪些問題?
- 伺服行星減速機廠家在國內是否有發展前景?
- 電動缸廠家解析電動缸是如何確定原點位置的
- 什么是一級行星減速機和二級行星減速機?
- 影響精密行星減速機價格的四大因素
- 艾伺頓爾精密行星減速機產品介紹
最新資訊文章
- 直角行星減速機怎樣準確安裝呢?
- 斜齒行星減速機在鍛壓機上的應用
- 伺服精密行星減速機的作用
- 伺服精密行星減速機的傳動效率影
- 精密行星齒輪減速機出現斷軸的原因
- 伺服精密行星減速機失效的原因
- 斜齒行星減速機的價格影響
- 伺服精密行星減速機的周轉你知道嗎?
- 伺服精密行星減速機耐用嗎?
- 伺服精密行星減速機生銹如何防止?
- 斜齒行星減速機使用壽命的五大方法
- 斜齒行星減速機有哪些優勢呢?
- 關于精密行星齒輪減速機維護
- 直角行星減速機有效降低轉速提升扭矩
- 造成小型行星減速機誤差的原因
- 伺服精密行星減速機提高水平有哪些因素
- 直角行星減速機如何進行檢查和維修
- 關于小型行星減速機失效的原因
- 精密行星減速機工作原理溫升測試
- 小型行星減速機換油的技巧




