中空旋轉平臺減速機齒廓不根切條件
文章出處:合富源 人氣:發表時間:2019-07-16 15:58
中空旋轉平臺減速機齒廓不根切條件
(1) 根切現象及其產生原因
根切現象如圖所示,用范成法切制齒輪的過程中,有時刀具會把齒輪根部已加工好的漸開線齒廓切去一部分,這種現象稱為根切。根切將削弱齒根的強度,甚至可能降低重合度,影響傳動質量,應盡量避免。
產生原因 圖為齒條刀的齒頂線超過極限嚙合點 N1(嚙合線與被切齒輪基圓的切點)的情況。當刀具以速度ν移動到達位置Ⅱ時,刀刃齒廓將被加工輪齒的漸開線齒廓完全切出。范成加工繼續進行,刀具移動距離 s 到達位置Ⅲ,刀刃齒廓與嚙合線 NN 交于點 K。與此同時,齒輪相應轉過φ角,其基圓轉過的弧長

即點 N1 ` 附近的漸開線被刀刃切掉而產生根切,如圖中的陰影部分所示。

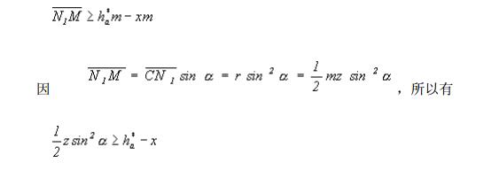
(2) 避免中空旋轉平臺減速機根切的方法
以上分析可知,產生根切的原因是刀具的齒頂線超過極限嚙合點 N1,因此可以利用移距變位的方法避免根切。
如圖所示,為了中空旋轉平臺減速機避免根切齒條刀采用正變位,變位量為 。這樣使刀具齒頂線通過極限嚙合點 N1,剛好不根切。由此可得不根切的條件為:

推薦產品
同類文章排行
- 合富源為您解析一級、二級、三級行星減速機內部結構圖
- 中空旋轉平臺工作原理
- 行星減速機內部結構圖與傳動原理
- 平行軸行星減速機的概述、特點及應用領域
- 選擇精密伺服行星減速機時應注意哪些問題?
- 伺服行星減速機廠家在國內是否有發展前景?
- 電動缸廠家解析電動缸是如何確定原點位置的
- 什么是一級行星減速機和二級行星減速機?
- 影響精密行星減速機價格的四大因素
- 艾伺頓爾精密行星減速機產品介紹
最新資訊文章
- 直角行星減速機怎樣準確安裝呢?
- 斜齒行星減速機在鍛壓機上的應用
- 伺服精密行星減速機的作用
- 伺服精密行星減速機的傳動效率影
- 精密行星齒輪減速機出現斷軸的原因
- 伺服精密行星減速機失效的原因
- 斜齒行星減速機的價格影響
- 伺服精密行星減速機的周轉你知道嗎?
- 伺服精密行星減速機耐用嗎?
- 伺服精密行星減速機生銹如何防止?
- 斜齒行星減速機使用壽命的五大方法
- 斜齒行星減速機有哪些優勢呢?
- 關于精密行星齒輪減速機維護
- 直角行星減速機有效降低轉速提升扭矩
- 造成小型行星減速機誤差的原因
- 伺服精密行星減速機提高水平有哪些因素
- 直角行星減速機如何進行檢查和維修
- 關于小型行星減速機失效的原因
- 精密行星減速機工作原理溫升測試
- 小型行星減速機換油的技巧




