深圳中空旋轉平臺廠家:中空旋轉減速機的齒輪機構
文章出處:未知 人氣:發表時間:2020-06-17 16:42
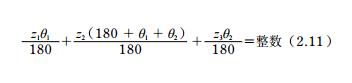
封閉行星機構的特點是 , 嚙合封閉在齒輪系中 , 旋轉一週后回到原來的位置 .

圖 2.5 中所示的封閉嚙合中 , 將成立的齒數分 別 設 為 z1、z2、z3 . 將圖中的粗實線所示部分的長度除以齒輪的齒距 , 得出的數值為整數的話 , 此封閉嚙合成立 .
公式 (2.11) 為嚙合條件公式 :


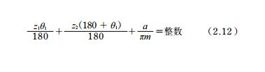
公式 (2.12) 為嚙合條件公式 :

中空旋轉平臺減速機的齒數差很小的內齒輪與正齒輪通過適當的變位后可以避免干涉的發生 . 設中空旋轉平臺減速機內齒輪的齒數 z2 =50,齒數差由 1 到 8 的齒輪要素 , 列于表 2.3.

對于這些中空旋轉平臺減速機的齒輪 , 不會發生漸開曲線干涉與次擺線干涉 , 但是會發生齒形重疊干涉 .
所以 , 將中空旋轉平臺減速機齒輪移動至嚙合位置時 , 需要沿軸方向進行移動 . 少齒數差的變位內齒輪做為少齒數差行星齒輪機構使用時 , 單級即可獲得高傳動比 . 此時的傳動比為 :

圖 2.4 中示意了 z1 = 30、z2 = 31 的齒數差為 1 的內齒輪與正齒輪的嚙合 .
此時 , 中空軸旋轉平臺減速機傳動比為 30

推薦產品
同類文章排行
- 合富源為您解析一級、二級、三級行星減速機內部結構圖
- 中空旋轉平臺工作原理
- 行星減速機內部結構圖與傳動原理
- 平行軸行星減速機的概述、特點及應用領域
- 選擇精密伺服行星減速機時應注意哪些問題?
- 伺服行星減速機廠家在國內是否有發展前景?
- 電動缸廠家解析電動缸是如何確定原點位置的
- 什么是一級行星減速機和二級行星減速機?
- 影響精密行星減速機價格的四大因素
- 艾伺頓爾精密行星減速機產品介紹
最新資訊文章
- 直角行星減速機怎樣準確安裝呢?
- 斜齒行星減速機在鍛壓機上的應用
- 伺服精密行星減速機的作用
- 伺服精密行星減速機的傳動效率影
- 精密行星齒輪減速機出現斷軸的原因
- 伺服精密行星減速機失效的原因
- 斜齒行星減速機的價格影響
- 伺服精密行星減速機的周轉你知道嗎?
- 伺服精密行星減速機耐用嗎?
- 伺服精密行星減速機生銹如何防止?
- 斜齒行星減速機使用壽命的五大方法
- 斜齒行星減速機有哪些優勢呢?
- 關于精密行星齒輪減速機維護
- 直角行星減速機有效降低轉速提升扭矩
- 造成小型行星減速機誤差的原因
- 伺服精密行星減速機提高水平有哪些因素
- 直角行星減速機如何進行檢查和維修
- 關于小型行星減速機失效的原因
- 精密行星減速機工作原理溫升測試
- 小型行星減速機換油的技巧




