中空旋轉平臺減速機廠家分析漸開線齒壓角
文章出處:合富源 人氣:發表時間:2019-07-12 11:46
中空旋轉平臺減速機廠家分析漸開線齒壓角
如圖所示,點K是漸開線上的任何點,其直徑由rk表示。如果將此漸開線用作齒輪的齒廓,當齒輪圍繞點O旋轉時,齒廓上的K點速度的方向應垂直于直線 OK,即沿直線 mm。法線 BK與點K速度方向線mm之間的銳角稱為漸開線。此時齒廓的壓力角由αk表示,其尺寸等于∠KOB。
可以通過△KOB獲得:

上面的公式表明:中空旋轉平臺減速機每個點在漸開線上的壓力角是不同的,離基圓越遠(徑向直徑rk越大),壓力角越大;漸開線起點A壓力角為零。

可以看到這個數字:
漸開線每個點的曲率半徑不同,離基圓越遠,曲率半徑越大;否則,曲率半徑越小;漸開線基圓上的起點A曲率半徑為零。
漸開線函數

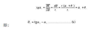
從圖表中可以看出:

上述等式表明,擴展角θk是壓力角αk的函數,稱為漸開線函數。該項目使用invαk來表示θk,即有##;計算了不同壓力角的漸開線函數,并將其作為調查表。有關詳細信息,請參見表2,如果漸開線起點A的矢量OA為極軸,則漸開線上任意點K的位置可用極坐標描述。結合(a)和(b),漸開線的極坐標方程為:
推薦產品
同類文章排行
- 合富源為您解析一級、二級、三級行星減速機內部結構圖
- 中空旋轉平臺工作原理
- 行星減速機內部結構圖與傳動原理
- 平行軸行星減速機的概述、特點及應用領域
- 選擇精密伺服行星減速機時應注意哪些問題?
- 伺服行星減速機廠家在國內是否有發展前景?
- 電動缸廠家解析電動缸是如何確定原點位置的
- 什么是一級行星減速機和二級行星減速機?
- 影響精密行星減速機價格的四大因素
- 艾伺頓爾精密行星減速機產品介紹
最新資訊文章
- 直角行星減速機怎樣準確安裝呢?
- 斜齒行星減速機在鍛壓機上的應用
- 伺服精密行星減速機的作用
- 伺服精密行星減速機的傳動效率影
- 精密行星齒輪減速機出現斷軸的原因
- 伺服精密行星減速機失效的原因
- 斜齒行星減速機的價格影響
- 伺服精密行星減速機的周轉你知道嗎?
- 伺服精密行星減速機耐用嗎?
- 伺服精密行星減速機生銹如何防止?
- 斜齒行星減速機使用壽命的五大方法
- 斜齒行星減速機有哪些優勢呢?
- 關于精密行星齒輪減速機維護
- 直角行星減速機有效降低轉速提升扭矩
- 造成小型行星減速機誤差的原因
- 伺服精密行星減速機提高水平有哪些因素
- 直角行星減速機如何進行檢查和維修
- 關于小型行星減速機失效的原因
- 精密行星減速機工作原理溫升測試
- 小型行星減速機換油的技巧




